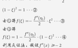
微分中值定理研究现状:从经典基石到现代应用的深度探索**微分中值定理,作为微积分学的灵魂与基石,其理论深度与应用广度历经数百年发展,至今仍在不断演化,本文旨在系统梳理微分中值定理的研究现状,从其经典理论的严谨证明与教学创新,到其在现代数学...